Digital SCAL von 3D-Gesteinsbildern

Kapillardruck- und Zweiphasenströmungsanalyse

Die Digital Special Core Analysis (SCAL) mit GeoDict bietet eine schnellere, zerstörungsfreie und reproduzierbare Alternative und Ergänzung zu herkömmlichen Labormethoden. Durch die Simulation von Zweiphasenströmungen und Flüssigkeitsverteilungen – beispielsweise von Öl und Wasser – direkt auf µCT- oder anderen 3D-Bildern poröser Lagerstättengesteine ermöglicht GeoDict eine genaue Vorhersage von Kapillardruckkurven, relativer Permeabilität und Hystereseverhalten. Diese Erkenntnisse sind für die Charakterisierung von Lagerstätten, die Produktionsprognose und die Planung einer verbesserten Ölgewinnung von entscheidender Bedeutung.

Mit vorgefertigten Workflows und ohne physische Kernveränderungen reduziert Digital SCAL die Durchlaufzeit von Monaten auf Tage und bewahrt gleichzeitig die Integrität der Proben.

Die vollständige Kontrolle über Simulationsparameter erlaubt es Ingenieurteams, spezifische Szenarien realitätsnah abzubilden – ob für Reservoircharakterisierung, Enhanced Oil Recovery oder CO₂-Speicherung. Die Rückverfolgbarkeit der Ergebnisse ist durchdacht integriert, was GeoDict zur idealen Plattform für digitale Gesteinsanalytik macht.

Öl verdrängt Wasser in einem wassergesättigten Berea Sandstein. Die Sättigung der Ölphase erhöht sich mit steigendem Kapillardruck.

Für Betreiber, Dienstleister und Kernlabore, die ihre Entscheidungsfindung verbessern und das Betriebsrisiko reduzieren möchten, ist Digital SCAL ein wirkungsvolles Werkzeug für die Reservoirbewertung, sei es zur Validierung experimenteller SCAL oder zur Überbrückung von Datenlücken in komplexen Formationen.

Autoren und Anwendungsspezialisten

Dr. Christian Hinz

Head of Oil & Gas Business

Lobel Danicic

Account Manager Oil & Gas

Dr. Arne Jacob

Application Engineer
for Consulting and Projects

Teil 1: Realistische Simulation der Hysterese und Gesteinsalterung mit GeoDict

Jeder Digital-Rock-Physics-Workflow beginnt mit der Segmentierung von 3D-Bilddaten und der Erstellung eines digitalen Gesteinsmodells. GeoDict ermöglicht darauf aufbauend die Simulation des vollständigen Kapillardruck-Hysteresezyklus – inklusive aller relevanten Phasen des Zweiphasenflusses:

  • Primary Drainage: Öl verdrängt Wasser
  • Imbibition (spontaneous+forced): Wasser dringt wieder ein, z. B. bei Wasserflutung
  • Secondary Drainage (spontaneous+forced): Öl verdrängt erneut Wasser

Die Entwicklung der Sättigung und Fluidverteilung wird bei jedem Druckschritt präzise abgebildet.

Ein entscheidender Vorteil: GeoDict berücksichtigt die Benetzbarkeit auf Mineralebene – für realitätsnahe oil-wet, water-wet oder mixed-wet Szenarien. Auch Gesteinsalterung nach der Primärentwässerung kann simuliert werden, um veränderte Benetzungsverhältnisse realistisch zu erfassen.

Dank vorgefertigter Workflows und einer intuitiven Benutzeroberfläche lassen sich diese komplexen Simulationen ohne Programmierung durchführen – schnell, transparent und reproduzierbar.

Teil 2: Effektive Automatisierung des Workflows

Mit GeoDict lassen sich individuelle Digital-SCAL-Workflows umfangreich automatisieren. In diesem Fallbeispiel wurde der vollständige Hysteresezyklus mit der in GeoDict enthaltenen GeoApp Hysteresis for Oil-Water Setups durchgeführt. Simulationsszenarien und Eingabeparameter sind dabei vollständig anpassbar – je nach geologischer Fragestellung und Anwendung.

GeoDict bildet das gesamte Kontaktwinkelspektrum der Fluide realistisch ab – von water-wet über neutrally-wet bis oil-wet oder mixed-wet – basierend auf den spezifischen Benetzungseigenschaften des Gesteins. Zusätzlich können in GeoDict sowohl Porous-Plate- als auch Centrifugal-Experimente zur Charakterisierung der Zweiphasenströmung in porösen Medien numerisch simuliert werden.

In der intuitiven Benutzeroberfläche lassen sich zentrale Simulationsparameter bequem einstellen:

  • Fluideigenschaften
  • Benetzungsbedingungen
  • Kontaktwinkel
  • Grenzflächenspannungen
  • Fließrichtung

So gelingt die Automatisierung anspruchsvoller Digital-SCAL-Szenarien bei gleichzeitig voller Kontrolle und technischer Genauigkeit.

Folgende Module kamen zum Einsatz

PoroDict MatDict FlowDict SatuDict

 

Teil 3: Berechnung der relativen Permeabilität großer Strukturen

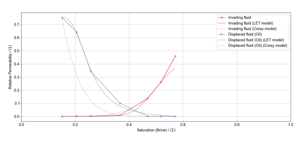
Große Gesteinsstrukturen lassen sich mit GeoDict effizient und kostengünstig analysieren. Anstelle aufwendiger Labortests ermöglicht GeoDict die Simulation von Kapillardruckkurven und die Ableitung von relativen Permeabilitätskurven direkt aus hochauflösenden 3D-Gesteinsmodellen – und spart damit wertvolle Zeit und Ressourcen.

Bei jedem Druckschritt wird die Sättigungsverteilung der Fluidphasen detailliert berechnet. Ausgewählte Sättigungsgrade dienen anschließend als Grundlage zur Bestimmung der effektiven Permeabilität jeder Phase – für eine präzise Vorhersage der relativen Permeabilität in Abhängigkeit von der Sättigung. Der gesamte Workflow ist vollständig transparent und bietet volle Kontrolle über alle Simulationsparameter – für reproduzierbare und rückverfolgbare Ergebnisse.

Fallstudie: Gildehauser Sandstein³

Als Referenz wurde ein Mikro-CT-Modell des Gildehauser Sandsteins untersucht. Der gesamte Kapillardruck-Hysteresezyklus wurde simuliert: Primary Drainage, Imbibition (spontaneous+forced)Berücksichtigung der teilweisen Alterung der Mineraloberflächen nach der Entwässerung. Darauf aufbauend wurden die relativen Permeabilitätskurven für Wasser- und Ölphase berechnet.

GeoDict stellt dazu Industriestandards wie die Corey- und LET-Modelle zur Verfügung, mit denen sich diskrete Simulationsergebnisse als kontinuierliche Funktionen parametrisieren lassen. Dies erleichtert die Integration in Reservoirsimulatoren und History-Matching-Workflows – und schließt die Lücke zwischen Porenphysik und Feldskala. Das Ergebnis: fundiertere Entscheidungen in der Reservoirentwicklung.

Simulationsparameter

Kontaktwinkel der Mineraloberflächen:

  • Initial CA: 40°
  • CA von gealterten mineralischen Oberflächen: 140°

Ergebnisse der Kapillardruckkurvenberechnung:

  • Irreducible Wassersättigung: 15 %
  • Residual Öl-Sättigung: 42 %

Genutze Computerressourcen:

  • Laufzeit: ~20 Stunden
  • RAM: ~95 GB
  • Parallelisierung: 32 Kerne
  • Software: GeoDict 2025

Visualisierung der Strömungsgeschwindigkeiten in der Simulation der relativen Permeabilität

References / Relevant publications

Burmester, G., Zekiri, F., Jurcic, H., Arnold, P., Ott., H., Integration and Upscaling of Multi-Phase Fluid Flow Properties in Clastic Reservoirs, 83rd EAGE Annual Conference & Exhibition, Conference Proceedings, pages 1-5, 2022 https://doi.org/10.3997/2214-4609.202210939

Arnold, P., Dragovits, M., Linden, S., Hinz, C., & Ott, H. (2023). Forced imbibition and uncertainty modeling using the morphological method. Advances in Water Resources, 172, 104381. https://doi.org/10.1016/j.advwatres.2023.104381

Berg, S., Rücker, M., Ott, H., Georgiadis, A., Van der Linde, H., Enzmann, F., Kersten, M., Armstrong, R., De With, S., Becker, J., & Wiegmann, A. (2016). Connected pathway relative permeability from pore-scale imaging of imbibition. Advances in Water Resources, 90, 24-35. https://doi.org/10.1016/j.advwatres.2016.01.010

Andrä, H., Combaret, N., Dvorkin, J., Glatt, E., Han, J., Kabel, M., Keehm, Y., Krzikalla, F., Lee, M., Madonna, C., Marsh, M., Mukerji, T., Saenger, E. H., Sain, R., Saxena, N., Ricker, S., Wiegmann, A., & Zhan, X. (2012). Digital rock physics benchmarks—Part I: Imaging and segmentation. Computers & Geosciences, 50, 25-32. https://doi.org/10.1016/j.cageo.2012.09.005

Benötigen Sie weitere Informationen?

Buchen Sie online einen Beratungstermin mit unseren Experten oder schreiben Sie uns über das Kontaktformular!

Kontaktieren Sie uns